Loading...
Toggle navigation
Home
About Journal
Journal Profile
Subscription
Editorial Board
Instruction
Journal
Just Accepted
Current Issue
Archive
Most Read
Most Download
Most Cited
Publication Ethics
OA policy
Contact Us
中文
Author Center
Peer Review
Editor Work
Office Work
Table of Content
27 April 2026, Volume 38 Issue 4
Previous Issue
Potential mechanism of volatile components from Bupleuri Radix-Cinnamomi Ramulus in treating depression based on HS-SPME-GC-MS and bioinformatics
GUO Lei, ZHOU Yu-jing, DAI Quan-wu, GE Jun, ZHANG Xin-yi, CHENG Li, LIU Yi
2026, 38(4): 685-700.
doi:
10.16333/j.1001-6880.2026.4.001
Abstract
(
22
)
PDF
(3996KB) (
5
)
Chemical composition differences between Rubiae Radix et Rhizoma and its adulterants Based on HPLC fingerprint and chemical pattern recognition combined with multi-component quantification
JIANG Kai-hang, ZHANG Ming-tong, DONG Yang-li, LIU Zhi-hao, LIU Dong-sheng, ZHANG Sheng-jie, LI Dong-hua, MA Xiao
2026, 38(4): 701-714.
doi:
10.16333/j.1001-6880.2026.4.002
Abstract
(
9
)
PDF
(2840KB) (
1
)
Active ingredients and mechanism of Qingre Huatan Tongluo Formula against ischemic stroke based on UPLC-Q-TOF-MS/MS and network pharmacology
CHEN Tong-tong, YI Xiao-jing, ZHAO Yi-chun, XU Xiang-yue, ZHAO De-ping, ZHANG Ning, SUN Hui-feng, LEI Xia
2026, 38(4): 715-728.
doi:
10.16333/j.1001-6880.2026.4.003
Abstract
(
7
)
PDF
(4943KB) (
3
)
Betulinic acid induces pyroptosis in colorectal cancer cells via the activation of Caspase-3/GSDME signaling pathway
LIU Xiao-hong, HE Zi-yu, TANG Xiao-meng, LI Yu-bing, MING Tian-qi, HU Jia-hao, LUO Wen-wen, XU Hai-bo
2026, 38(4): 729-737.
doi:
10.16333/j.1001-6880.2026.4.004
Abstract
(
4
)
PDF
(2423KB) (
1
)
Differential analysis of chemical constituents of Tibetan medicine Dali from three origins based on UPLC-Q-TOF-MS combined with chemometrics
YU Jing, QIU Yi, ZHOU Ying-ying, YANG Yong, QU Xian-you, LIU Xiang, ZHANG Xiao-mei, QIN Wei-han
2026, 38(4): 738-752.
doi:
10.16333/j.1001-6880.2026.4.005
Abstract
(
1
)
PDF
(2654KB) (
1
)
Structural characteristics and anti-inflammatory activity of polysaccharides from peony seed meal
ZHAO Yue, JIANG Chen-xu, ZHENG Bo-wen, ZHANG Zhi-hao, ZHANG Lu-zhe, CHEN Qi-xu, WANG Dai-jie, HE Ji-xiang
2026, 38(4): 753-761.
doi:
10.16333/j.1001-6880.2026.4.006
Abstract
(
4
)
PDF
(1987KB) (
0
)
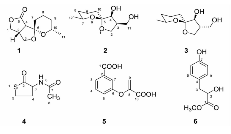
A novel spiroketal compound from marine-derived
Streptomyces aureus
JIANG Rui-jin, QU Tian-tian, YAN Xiao-mei, LI Yan-jie, WANG Ying, LI Yong, HE Jiang-bo
2026, 38(4): 762-766.
doi:
10.16333/j.1001-6880.2026.4.007
Abstract
(
5
)
PDF
(670KB) (
2
)
A novel spiroketal compound from marine-derived
Streptomyces aureus
(Supporting Information)
JIANG Rui-jin, QU Tian-tian, YAN Xiao-mei, LI Yan-jie, WANG Ying, LI Yong, HE Jiang-bo
2026, 38(4): 763-766.
Abstract
(
2
)
PDF
(1293KB) (
0
)
Chemical constituents of
Hyssopus cuspidatus
Boriss. and their anti-inflammatory activity
ABULIZI Xiatiguli, QING De-gang, SUN Yu , LIU Chang, MA Guo-xu, SHI Lei-ling
2026, 38(4): 767-775.
doi:
10.16333/j.1001-6880.2026.4.008
Abstract
(
9
)
PDF
(1061KB) (
2
)
Chemical constituents from Tibetan medicine
Rhododendron anthopogonoides
Maxim. and their cyclooxygenase-2 inhibitory activity
WANG Ke-feng , XIA Ding-bing , FAN Min-xia, TIAN Yong-qiang
2026, 38(4): 776-781.
doi:
10.16333/j.1001-6880.2026.4.009
Abstract
(
1
)
PDF
(729KB) (
0
)
Brassica rapa
L. acidic polysachharide improves type 2 diabetes by protecting intestinal barrier function
WU Mei-mei, DONG Xiao-na, LI Huan-huan, LIU Hong-yu, TAOERDAHONG Hai-li-qian
2026, 38(4): 782-792.
doi:
10.16333/j.1001-6880.2026.4.010
Abstract
(
17
)
PDF
(2536KB) (
1
)
Protective effect and mechanism of ethyl acetate extract of Cinnamomi Ramulus on OGD/R-induced H9c2 cells injury
ZOU Jia-min, PENG Li-xia, PENG Qi-yue, GAO Yuan-lin, ZENG Nan
2026, 38(4): 793-802.
doi:
10.16333/j.1001-6880.2026.4.011
Abstract
(
4
)
PDF
(3212KB) (
1
)
Characteristics of chemical composition content of wild Rehmanniae Radix based on chemical pattern recognition and its correlation with ecological factors
REN Pan-ying, TAO Shi-yuan, ZHANG Juan, SU Cheng-fu, LEI Jing-wei, YANG Chun-jing, XIE Cai-xia, ZHANG Chong-yi
2026, 38(4): 803-814.
doi:
10.16333/j.1001-6880.2026.4.012
Abstract
(
3
)
PDF
(2343KB) (
2
)
"Imprinting templates" differences and spectral-quantitative study of Lonicerae Japonicae Flos and Lonicerae Flos
ZHANG Zi-an, CHEN Fan, ZHANG Liang-qi, CHEN Wang, LIU Sai-hu, HE Fu-yuan, XIAO Mei-feng
2026, 38(4): 815-826.
doi:
10.16333/j.1001-6880.2026.4.013
Abstract
(
1
)
PDF
(1812KB) (
0
)
Comprehensive quality evaluation of Salviae Plebeiae Herba from different origin based on multi-index quantification combined chemometrics and weighted TOPSIS model
LI Si-yang, LI Geng-dong, YAN Yu-hui
2026, 38(4): 827-837.
doi:
10.16333/j.1001-6880.2026.4.014
Abstract
(
2
)
PDF
(1392KB) (
0
)
Mechanisms of baicalein in ameliorating sepsis-associated acute kidney injury based on network pharmacology and experimental validation
LUO Fu-ping, HU Ying-chun, CUI Yan, YANG Qiu-yan, MO Lin, LI Meng-qin
2026, 38(4): 838-848.
doi:
10.16333/j.1001-6880.2026.4.015
Abstract
(
5
)
PDF
(3550KB) (
2
)
Investigation on chemical components and potential mechanisms of extracts from
Sparassis latifolia
in inhibiting melanogenesis based on GC-MS and network pharmacology
WENG Meng-ting, LIN Xiao-yun, WANG Hong-yu, KONG Zi-hao, WANG-Xiao, ZHENG Zhi-zhong, ZHANG Di
2026, 38(4): 849-859.
doi:
10.16333/j.1001-6880.2026.4.016
Abstract
(
2
)
PDF
(2598KB) (
0
)
Anti-inflammatory naterial basis of Alismatis Rhizoma based on spectrum-effect relationship and network pharmacology
ZHAO Wen-qi, ZHENG Wen, GUO Jia-chen, WANG Zi-min, YANG Gao-ting, ZHAO Zong-yi, LAN Zhi-qiong, CAO Zhi-xing
2026, 38(4): 860-872.
doi:
10.16333/j.1001-6880.2026.4.017
Abstract
(
3
)
PDF
(3241KB) (
0
)
Effect of Ligusticum chuanxiong against oxidative damage in SH-SY5Y cells based on network pharmacology and in vitro experiments
ZHANG Min, LI Xue, YUAN Zhi-zhen, REN Chuan-zhong, LI Wei
2026, 38(4): 873-882.
doi:
10.16333/j.1001-6880.2026.4.018
Abstract
(
7
)
PDF
(3135KB) (
1
)
Research progress on chemical constituents,pharmacological effects of Swertia chirayita and prediction of its quality marker
WANG Peng, YI Xiang-rui, TU Ya, LIU Chuan
2026, 38(4): 883-896.
doi:
10.16333/j.1001-6880.2026.4.019
Abstract
(
4
)
PDF
(2316KB) (
2
)
Research progress on the biological activities,extraction and separation of eleutheroside B
FU Ke, ZHANG Ya-fang, ZENG Li, PU Shi-yun
2026, 38(4): 897-909.
doi:
10.16333/j.1001-6880.2026.4.020
Abstract
(
3
)
PDF
(1956KB) (
2
)
A dataset of metabolites in different parts of
Oenothera biennis
DENG Jian-ling, YAO Dan-qing, FEI Guo-qiang, CHEN Yue, ZHANG Wei-wei
2026, 38(4): 910-913.
doi:
10.16333/j.1001-6880.2026.4.021
Abstract
(
6
)
PDF
(584KB) (
1
)
A dataset of the process and composition of tobacco flavor prepared from tobacco stems
CAI Jia-qi, ZHANG Xue-ping, YUN Liang, CHEN Yi-chun, WANG Xu, ZHU Kai, YANG Jing, ZHANG Kui
2026, 38(4): 914-917.
doi:
10.16333/j.1001-6880.2026.4.022
Abstract
(
3
)
PDF
(681KB) (
1
)