Loading...
Toggle navigation
Home
About Journal
Journal Profile
Subscription
Editorial Board
Instruction
Journal
Just Accepted
Current Issue
Archive
Most Read
Most Download
Most Cited
Publication Ethics
OA policy
Contact Us
中文
Author Center
Peer Review
Editor Work
Office Work
Table of Content
28 May 2025, Volume 37 Issue 5
Previous Issue
Differential analysis of metabolites in different parts of
Paeonia lactiflora
Pall. based on non-targeted metabolomics
ZHANG Lu-zhe, ZHAO Wen-shuang, MENG Zhao-qing, CUI Li, DONG Xiao-di, CAO Gui-yun, HE Ji-xiang, WANG Dai-jie
2025, 37(5): 795-806.
doi:
10.16333/j.1001-6880.2025.5.001
Abstract
(
470
)
PDF
(2822KB) (
23
)
Phosphorylation modification, structural characterisation and
in vitro
antioxidant and hypoglycemic activities of
Dioscorea opposita
Thunb. leaf polysaccharides
WANG Rong, WANG Jun-long, LI Hang-fei, LI Zi-wei
2025, 37(5): 807-815.
doi:
10.16333/j.1001-6880.2025.5.002
Abstract
(
278
)
PDF
(2050KB) (
20
)
Analysis of blood-absorbed components of Alocasiae Cucullatae Rhizoma aqueous extract based on UPLC-QE Orbitrap MS/MS
LUO Hui-min, ZHU Hua , XU Li-ba, WANG Bing-bing, LI Mei-lin, LU Lu, ZHANG Miao, CHEN Long
2025, 37(5): 816-827.
doi:
10.16333/j.1001-6880.2025.5.003
Abstract
(
247
)
PDF
(1477KB) (
8
)
Study on the effect of oridonin on non-alcoholic fatty liver disease through PPAR
α
/CPT-1 pathway
REN Ru-meng, YU Li-rui, HU Jun-jie, FANG Ying, LI Man
2025, 37(5): 828-836.
doi:
10.16333/j.1001-6880.2025.5.004
Abstract
(
273
)
PDF
(1934KB) (
8
)
Study on japonicoside B from
Smilacina japonica
A. Gray induces apoptosis and cell cycle arrest in human hepatoma cells by modulating the PI3K/AKT pathway
CUI Yu-wen, SONG Xiao-mei, TANG Hai-feng, HE Hao
2025, 37(5): 837-848.
doi:
10.16333/j.1001-6880.2025.5.005
Abstract
(
176
)
PDF
(2477KB) (
6
)
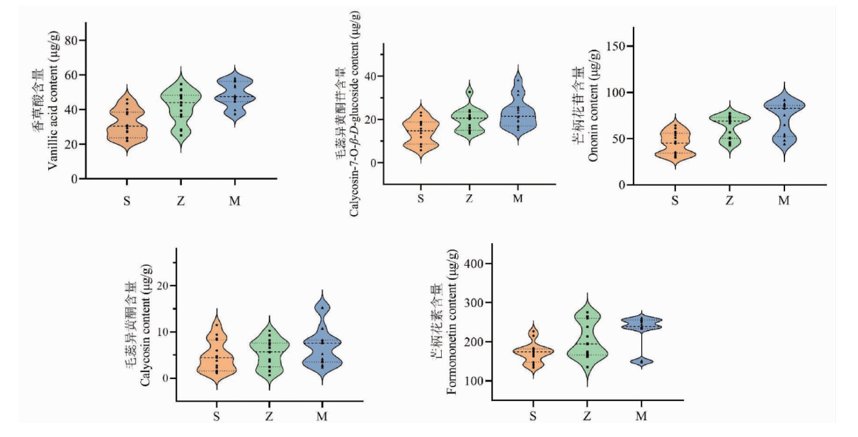
Component variation patterns and quality evaluation of Polygonati Rhizoma during wine processing based on HPLC fingerprint and multi-component dynamic analysis
ZHAN Zhi-hong, WEI Jia-bao, TANG Shuang-yan, XIE Jia-hui, HU Yu, ZHANG Li-jun
2025, 37(5): 849-858.
doi:
10.16333/j.1001-6880.2025.5.006
Abstract
(
235
)
PDF
(2469KB) (
5
)
Analysis of distribution characteristics of mineral elements in the soil of wild
Rehmannia glutinosa
production area by ICP-MS combined with chemical pattern recognition
REN Pan-ying, CHENG Meng-juan, WANG Feng-qing, GONG Hai-yan, LIU Qing-pu, LEI Jing-wei, ZHANG Juan, XIE Cai-xia
2025, 37(5): 859-868.
doi:
10.16333/j.1001-6880.2025.5.007
Abstract
(
151
)
PDF
(1709KB) (
6
)
Effects of indole-3-carbinol on serum metabolites of obese mice induced by high-fat diet based on
1
H NMR metabolomics
CHEN Jia-qi, HUANG Yong-xing, TAN Xiang-tian, PAERHATI Guliruoyi, MAO Xu-wen
2025, 37(5): 869-877.
doi:
10.16333/j.1001-6880.2025.5.008
Abstract
(
148
)
PDF
(2371KB) (
8
)
Intestinal mucosal immunity intermediated anti-
Staphylococcus aureus
effect of
Astragalus
polysaccharide on mice
SUN Meng-chun, DANG Nan, XU Nan, LI Xu-sheng, DONG Yi-hua, LIANG Meng-shuo, WU Zhen, LI Fa-rong
2025, 37(5): 878-884.
doi:
10.16333/j.1001-6880.2025.5.009
Abstract
(
185
)
PDF
(1261KB) (
5
)
Method study on indirect content determination of the pharmacological marker ligustilide in Chuanxiong Rhizoma by chemical transformational method
ZHANG Yuan-yuan, ZHAO Pan, ZHU Fu-qin, PAN Wen-hao, XU Jian-hui, YU Yan, LIU Jun-xi
2025, 37(5): 885-894.
doi:
10.16333/j.1001-6880.2025.5.010
Abstract
(
264
)
PDF
(1273KB) (
7
)
Effect of microwave-assisted extraction on physicochemical properties and functional activities of polysaccharide from
Passiflora edulis
peel
SUN Yong-jin, WANG Hong-jie, LI Hai-feng, HU Jiang-ru, CAI Jin-yuan, ZHAO Yun-long
2025, 37(5): 895-903.
doi:
10.16333/j.1001-6880.2025.5.011
Abstract
(
182
)
PDF
(2000KB) (
8
)
Chemical composition analysis and multi-index content determination of saponins in Panacis Majoris Rhizoma based on UPLC-Q-TOF-MS/MS combined with UNIFI
ZHANG Yi-jia1, YANG Jing-xiao1, HU Xin-yue1, HUANG Jia-cheng1, WANG Wei2, LIU Le-ping2, YAN Jian-ye1, 2
2025, 37(5): 904-917.
doi:
10.16333/j.1001-6880.2025.5.012
Abstract
(
224
)
PDF
(1639KB) (
13
)
Establishment of odor characteristic spectrum and determination of index components of Zanthoxyli Pericarpium
BAI Yu-ru, HE Lin, WU Hao, ZHANG Ting, ZHONG Lian, DENG Jia-le, WU Chun-jie
2025, 37(5): 918-929.
doi:
10.16333/j.1001-6880.2025.5.013
Abstract
(
190
)
PDF
(1770KB) (
11
)
Quality evaluation of Hedysari Radix and its different processed products based on fingerprint and multi-component content determination combined with weighted TOPSIS
GONG Wen-hui, GAO Lei, XIN Li, LIU Ming-gui, ZHANG Wen, JIN Shu-han, CHEN Xiao-yan, ZHANG Jin-lian
2025, 37(5): 930-943.
doi:
10.16333/j.1001-6880.2025.5.014
Abstract
(
172
)
PDF
(2491KB) (
8
)
Study on fermentation production and bioactivity of melanin from
Aureobasidium melanogenum
HUANG Qin-jiao, LI Zheng-long, SHU Lin, LIN Yu, ZENG Wei
2025, 37(5): 944-956.
doi:
10.16333/j.1001-6880.2025.5.015
Abstract
(
223
)
PDF
(2445KB) (
13
)
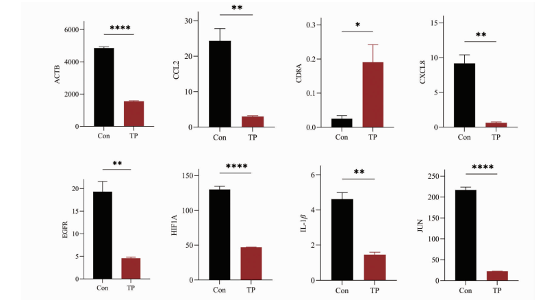
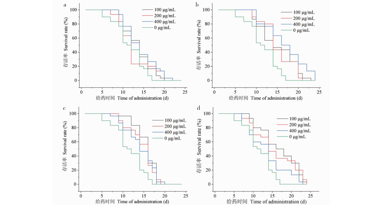
Study on the molecular mechanism of triptolide in the treatment of rheumatoid arthritis based on transcriptome sequencing,network pharmacology,and toxicology
CUI Jia-kang, ZHU Ze-lin, LIU Meng-jiao, MA Jun-fu, WANG Hui-lian, MENG Qing-liang
2025, 37(5): 957-964.
doi:
10.16333/j.1001-6880.2025.5.016
Abstract
(
234
)
PDF
(1905KB) (
4
)
Mechanism of liposoluble components of
Artemisia integrifolia
L. bud in regulating type 2 diabetes melitus based on network pharmacology and experimental validation
XU Yan-hua, HUA Qian, HE Xiang, Narenchaoketu, SUN Xin-ying, WU Yun-ga, WANG Qing-hu
2025, 37(5): 965-973.
doi:
10.16333/j.1001-6880.2025.5.017
Abstract
(
177
)
PDF
(2074KB) (
5
)
Research progress on traditional Chinese medicine targeting the Wnt/
β
-catenin signaling pathway in the treatment of diabetic foot ulcers
LI Jin-peng, GUO Jie, HE Bo, CHEN Jie
2025, 37(5): 974-982.
doi:
10.16333/j.1001-6880.2025.5.018
Abstract
(
179
)
PDF
(891KB) (
8
)
Research progress on the anti-tumor mechanism of active ingredients in traditional Chinese medicine based on the cGAS-STING signaling pathway
WANG Ke-ya, QI Jun-wei, ZHANG Tong, LI Xiao
2025, 37(5): 983-991.
doi:
10.16333/j.1001-6880.2025.5.019
Abstract
(
286
)
PDF
(992KB) (
6
)